Предмет: Алгебра, автор: nadezdasirostan065

помогите решить методом сложения.​

Приложения:

Ответы

Автор ответа: Пеппер
0

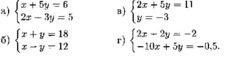
а) х+5у=6 (умножим на -2)

  2х-3у=5

-2х-10у=-12

2х-3у=5

    -13у=-7     у=7/13

х+5*7/13=6;  х+35/13=6;  х=6-35/13;  х=43/13=3 4/13

Ответ: (3 4/13;  7/13)

б) х+у=18

   х-у=12

   2х= 30;  х=15

15-у=12;  у=3

Ответ: (15; 3)

в) 2х+5у=11

   у=-3

2х+5(-3)=11;  2х-15=11;  2х=26;  х=13

Ответ: (13;  -3)

г) 2х-2у=-2

  -10х+5у=-0,5

  х-у=-1

-2х+у=-0,1

-х   =   -1,1;   х=1,1

1,1 - у = -1   у=1,1 + 1 = 2,1

Ответ: (1,1;  2,1)

Автор ответа: iramazurk
0

Объяснение:

А

х + 5у = 6 | * -2

2х - 3у = 5

-2х - 10у = -12

2х - 3у = 5

-13у = -7

2х - 3у = 5

1)

-13у = -7

у = -7 : (-13)

у = 7/13

2)

2х - 3у = 5

2х - 3*7/13 = 5

2х - 21/13 = 5

2х = 5 + 21/13

2х = 5 + 1. 8/13

2х = 6. 8/13

2х = 86/13

х = 86/13 : 2

х = 86/13 * 1/2

х = 86/26

х = 43/13

Ответ: (43/13; 7/13)

Б

х + у = 18

х - у = 12

2х = 30

х + у = 18

1)

2х = 30

х = 30 : 2

х = 15

2)

х + у = 18

15 + у = 18

у = 18 - 15

у = 3

Ответ: (15; 3)

В

2х + 5у = 11

у = -3

2х + 5у = 11

2х + 5 * (-3) = 11

2х - 15 = 11

2х = 11 + 15

2х = 26

х = 26 : 2

х = 13

Ответ: (13; -3)

Г

2х - 2у = -2 | * 5

-10х + 5у = -0,5

10х - 10у = -10

-10х + 5у = -0,5

-5у = -10,5

10х - 10у = -10

1)

-5у = -10,5

у = -10,5 : (-5)

у = 2,1

2)

10х - 10у = -10

10х - 10*2,1 = -10

10х - 21 = -10

10х = -10 + 21

10х = 11

х = 11 : 10

х = 1,1

Ответ: (1,1; 2,1)

Похожие вопросы
Предмет: Русский язык, автор: danik1302