Предмет: Математика, автор: lixbun

помогите! (СРОЧНО!!!!!)

Приложения:

Ответы

Автор ответа: daraprelj
0

Ответ:

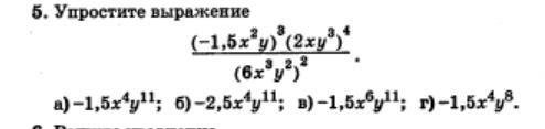
а) -1,5х⁴у¹¹

Пошаговое объяснение:

\displaystyle \frac{(-1,5x^2y)^3(2xy^3)^4}{(6x^3y^2)^2} =((-\frac{3}{2})^3x^6y^3*16x^4y^{12} ):36x^6y^4 =\\(-\frac{27}{8}*16*x^{6+4}y^{3+12}):36x^6y^4=-\frac{54}{36}x^{10-6}y^{15-4}=-1,5x^4y^{11}

Похожие вопросы
Предмет: Английский язык, автор: Minikotik20176