Предмет: Математика,
автор: vosilo3512
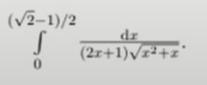
Даю 100 баллов тому кто решит этот интеграл( с подробнейшим обьяснением)
Приложения:
Ответы
Автор ответа:
2
Решение в PDF-файле. На скриншоте проверка на компьютере.
Если что-нибудь непонятно — спрашивай.
Приложения:
vosilo3512:
красивое решение. Про дифф. бином впервые слышу, видимо рано мне ещё до таких интегралов, но за решение спасибо
Дифф. бином — это взятие подобных интегралов в общем виде, конкретно для этой задачи о нём знать не нужно (но нужно понимать идеи замены, то есть как избавиться от корня в два хода)
Кстати, ремарка про дифф. бином относилась ко второй замене, я её случайно не туда вставил. Первую замену я сделал чисто интуитивно — заменяем то, что не под корнем,, дальше смотрим, упростится ли корень.
Красиво, но частный случай интеграла.
Какого?
Похожие вопросы
Предмет: Русский язык,
автор: narinearakelia1
Предмет: Русский язык,
автор: Ершова111
Предмет: Русский язык,
автор: oksanka531
Предмет: История,
автор: grishasurzhans
Предмет: Химия,
автор: EROMEROR