Предмет: Математика, автор: kkk2999

напишите и ответ, и решение, пожалуйста! 6 класс .3

Приложения:

NNNLLL54: только з) ?
kkk2999: все, я просто 4 раза одно задание выставляла, ибо нельзя больше 3х примеров :/
NNNLLL54: просто сверху в конце предложения стоит з ...
kkk2999: это цифра 3, соответственно 3 фото для добавления вопроса. мне было так легче не запутаться, что уже было задано, а что нет

Ответы

Автор ответа: kirarossmed
1

Ответ:

ё) х= - 4. 119/234

ж) х= 39. 1/5

з) х= 0,8

Пошаговое объяснение:

решение на фото

Приложения:
Автор ответа: NNNLLL54
3

Ответ:

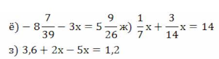
\displaystyle 1)\ \ -8\frac{7}{39}-3x=5\frac{9}{26}\\\\\\3x=-8\frac{7}{39}-5\frac{9}{26}\ \ ,\ \ 3x=-13-\Big(\frac{7}{39}^{|2}+\frac{9}{26}^{|3}\Big)\ \ ,\ \ 3x=-13-\frac{14+27}{78}\\\\\\3x=-13-\frac{41}{78}\ \ ,\ \ \ 3x=-\frac{1055}{78}\ \ ,\ \ x=-\frac{1055}{3\cdot 78} \ \ ,\ \ \boxed{x=-4\frac{119}{234}}

\displaystyle 2)\ \ \frac{1}{7}\, x+\frac{3}{14}\, x=14\\\\\\\frac{2+3}{14}\, x=14\ \ ,\ \ \ \frac{5}{14}\, x=14\ \ ,\ \ \ x=\frac{14\cdot 14}{5}\ \ ,\ \ \ \boxed{x=39,2}    

3)\ \ 3,6+2x-5x=1,2\\\\2x-5x=1,2-3,6\\\\-3x=-2,4\\\\x=2,4:3\\\\\boxed{x=0,8}

Похожие вопросы
Предмет: Русский язык, автор: yanali2009
Предмет: Математика, автор: Аноним
Предмет: Литература, автор: uigurochkazp6azam