Предмет: Математика,
автор: SUGARFIDAN
пж , помогите пожалуйста!!1,2,3,4
Приложения:
Ответы
Автор ответа:
1
Ответ:
Пошаговое объяснение:
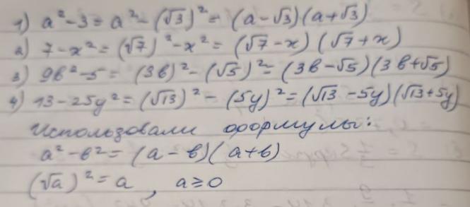
1) a²-3=(a-√3)(a+√3);
2) 7-x²=(√7-x)(√7+x);
3) 9b²-5=(3b-√5)(3b+√5);
4) 13-25y²=(√13-5y)(√13+5y).
Автор ответа:
1
Ответ:
См. фото
Пошаговое объяснение:
Приложения:
Похожие вопросы
Предмет: Русский язык,
автор: Аноним
Предмет: Окружающий мир,
автор: кира535
Предмет: Русский язык,
автор: aldyar1
Предмет: Другие предметы,
автор: conowalowalesha2018
Предмет: Русский язык,
автор: abuammor89