Предмет: Математика, автор: clubanonim193

Алгебра 8 класс. Задания а и б на картинке. Надо найти значения выражений.

Приложения:

Ответы

Автор ответа: LFP
3

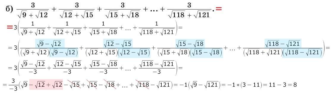
Ответ: a) 9, б) 8

Объяснение:

можно заметить, что в обоих примерах подкоренные выражения знаменателей отличаются на 3.

если применить формулу "разность квадратов" (избавиться от иррациональности в знаменателе), то знаменатели упростятся (сократятся):

\frac{3}{\sqrt{x}+\sqrt{x+3}} =\frac{3(\sqrt{x}-\sqrt{x+3})}{x-(x+3)}=\frac{3(\sqrt{x}-\sqrt{x+3})}{-3}=\sqrt{x+3}-\sqrt{x}

a) ... = √4-√1 + √7-√4 + √10-√7 +...+ √100-√97 = -√1 + √100 = 10-1 = 9

Приложения:
Похожие вопросы
Предмет: Русский язык, автор: мама20081
Предмет: Алгебра, автор: shishkina62006