Предмет: Химия,
автор: alinaderkach2203
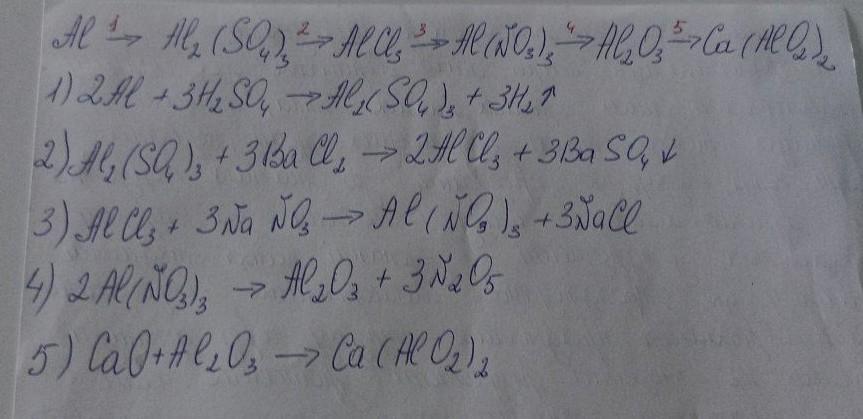
Напишіть рівняння реакцій, за допомогою яких можна здійснити такі перетворення: Al → Al2(SO4)3 → AlCl3 → Al(NO3)3 → Al2O3 → Ca(AlO2)2 .
Ответы
Автор ответа:
1
Объяснение:
всі пояснення на фото ..
Приложения:
solka0000:
якщо зможете ,то відмітьте мою відповідь ,як найкращу ,будь ласка
добре, дякую
Похожие вопросы
Предмет: Русский язык,
автор: 555207
Предмет: Русский язык,
автор: Умник3441
Предмет: Другие предметы,
автор: leratapok
Предмет: Английский язык,
автор: uflbyf4213
Предмет: Геометрия,
автор: Pashka5555