Предмет: Математика,
автор: amor777
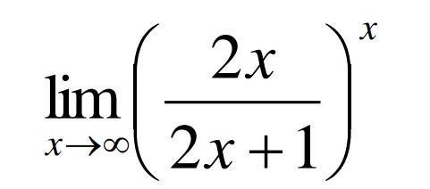
знайти границю функції. lim x→∞ (2x)/(2x+1)^x
Приложения:
tarasabc:
=1
Нет
Ответы
Автор ответа:
1
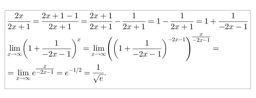
Ця границя шукається шляхом підведення до другої чудової границі:
Приложения:
спасибо ❤️
Можеш ще в останньому рядку розписати e^(x/(-2x-1))=e^(1/(-2-1/x))
Похожие вопросы
Предмет: Английский язык,
автор: Nichosi02042002
Предмет: Английский язык,
автор: anhabi1b
Предмет: Русский язык,
автор: den177ew
Предмет: Математика,
автор: stan8484
Предмет: Английский язык,
автор: vipmakogonp6hrg3