Предмет: Математика,
автор: sas98312
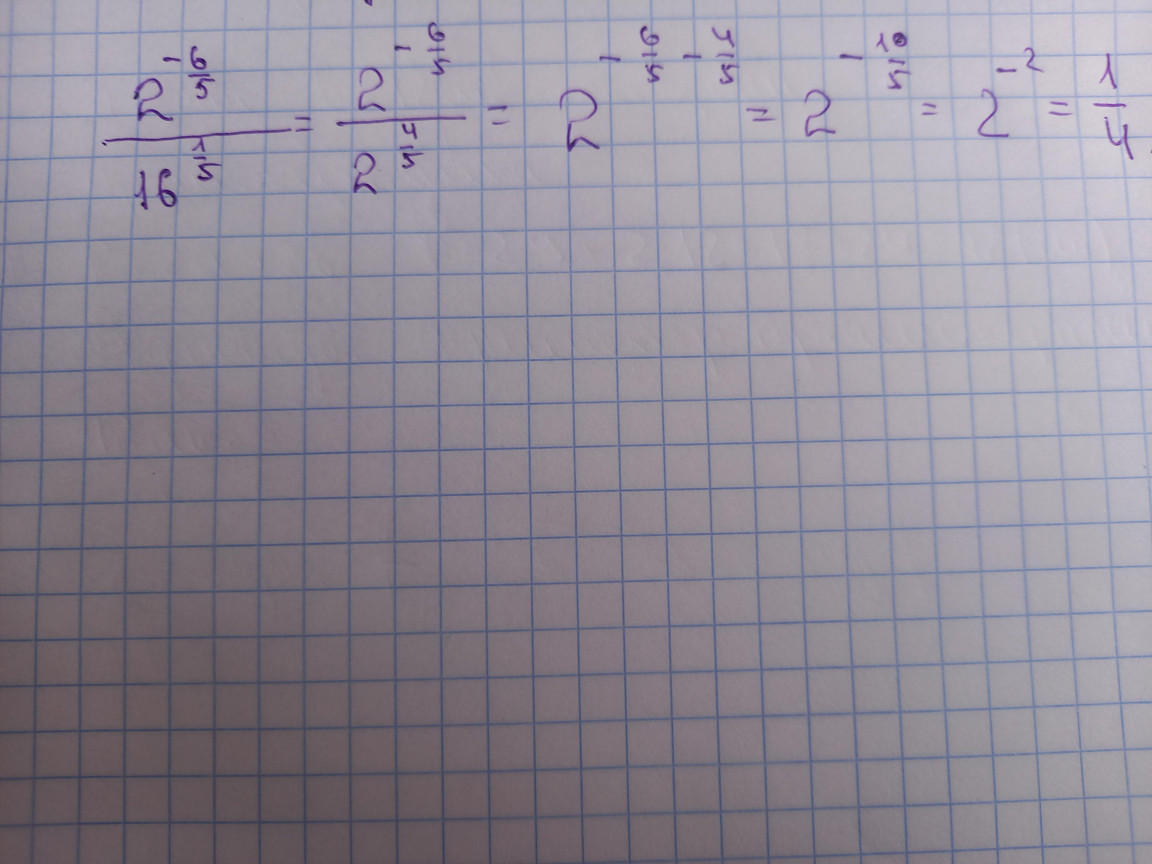
як скорочується 2^-6/5 і 16^1/5 ?. Я не розумію, будь-ласка поясніть
aarr04594:
Фото повного завдання.
Ответы
Автор ответа:
1
Доброго дня. Якщо зрозуміла умову, то так.
Приложения:
Похожие вопросы
Предмет: Русский язык,
автор: 12345678225
Предмет: Русский язык,
автор: Privetkoko2
Предмет: Окружающий мир,
автор: polina8918
Предмет: Русский язык,
автор: pavelhramov555
Предмет: Музыка,
автор: elenashtu4ka