Предмет: Математика, автор: bond82270

Скласти блок-схеми для розв’язання наступних задач:
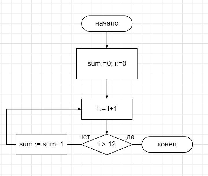
А) Обрахунку суми чисел від 0 до 12

помогитееее

Ответы

Автор ответа: pushpull
0

Ответ:

блок-схема во вложении

Пошаговое объяснение:

приведена во вложении

#SPJ1

Приложения:
Похожие вопросы
Предмет: Русский язык, автор: polina168
Срочно!!! ПОМОГИТЕ ПОЖАЛУЙСТА НАЙТИ ПРОБЛЕМУ В ТЕКСТЕ!!!
Вот на веранде под вечер Корней Иванович читает стихи. Не нам, а гостям, взрослым. Но и мы тут же: нас не оторвать от его голоса: Под насыпью, во рву некошеном, Лежит и смотрит, как живая, В цветном платке, на косы брошенном, Красивая и молодая...
И тут, в этом плаче и пении вагонов, дороги, одиночества, среди этого горя, обращённого гармонией в счастье, вдруг наступил, по словам другого поэта,
...нелепый, безобразный в однообразьи перерыв... —
на веранду вбежала няня Тоня и, запыхавшись, спросила:
— Подавать самовар? Вскипел.
Вечер был прохладный, с самоваром её торопили.
Поглядев на неё с таким удивлением, будто кто-то из них двоих сумасшедший, Корней Иванович в бешенстве разбил тарелку, раскровянил себе палец и крикнул:
— Как вы смеете — смеете — говорить при стихах?!
Тоня заплакала. Он накричал на неё не только при стихах — при гостях. И это был тот самый человек, который деликатности с прислугой требовал от себя и от нас, детей, безупречной, который уже больным стариком стеснялся попросить домашнюю работницу принести ему грелку: лишний раз подняться на второй этаж!.. Вспылив тогда, на веранде, в Куоккале, он мгновенно опомнился и побежал за Тоней на кухню просить прощения. Он утешал её и при этом по складам выговаривал:
— Когда читают стихи, перебивать можно только в одном случае: если загорелся дом! Других причин я не знаю!
Мы-то были уже обученные. Мы-то усвоили давно, накрепко, что перебивать нельзя не только чтение вслух, а иногда и молчание. Притащишь ему зимою на чужую дачу в мороз — он убегал туда заканчивать статью, — притащишь кастрюлю супу или чайник кипятку, а он сидит с карандашом в руке и молчит — и этого молчания прерывать нельзя. Ставь еду на подоконник и скорей уходи. Молча. Если невпопад заговоришь — он как рявкнет! А уж когда он или кто другой читает стихи...
(По книге «Памяти детства. Воспоминания о Корнее Чуковском» )



Предмет: Алгебра, автор: pavelafanasev