Предмет: Физика,
автор: Akinshyn0209
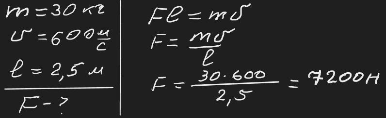
Снаряд масою m=30кг вилітає горизонтально з дула гармати зі швидкістю V=600 м/с. Довжина ствола гармати S=2.5 м. Яке середнє значення сили тиску газів на снаряд?
Ответы
Автор ответа:
0
Відповідь: 7200 Н
Пояснення:
Приложения:
Похожие вопросы
Предмет: Українська мова,
автор: akimanna08
Предмет: Русский язык,
автор: 81830306
Предмет: Английский язык,
автор: Аноним
Предмет: ОБЖ,
автор: Genci2000
Предмет: Алгебра,
автор: dana1238