Предмет: Физика,
автор: ihor90
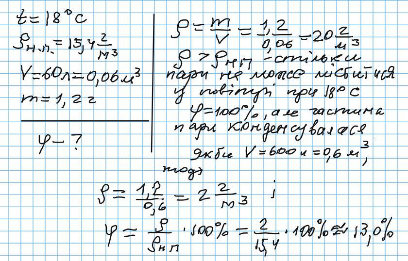
Чому дорівнює відносна вологість повітря, у 60 л якого за температури 18 0С міститься 1,2 г водяної пари?
Ответы
Автор ответа:
0
Відповідь: Див. додаток
Пояснення:
Приложения:
Похожие вопросы
Предмет: Қазақ тiлi,
автор: annasus
Предмет: Английский язык,
автор: Никита14333
Предмет: Английский язык,
автор: Lera8953
Предмет: Алгебра,
автор: myfvoritebias0
Предмет: Окружающий мир,
автор: курямба