Предмет: Алгебра,
автор: i0635113570
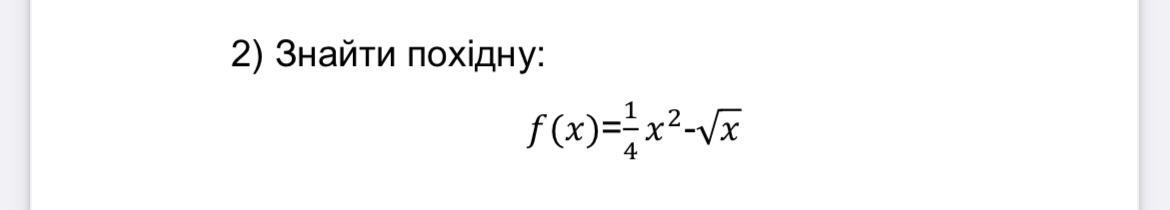
Потрібно знайти похідну , допоможіть будь ласка
Приложения:
Ответы
Автор ответа:
1
Объяснение:
..................................
Приложения:
Автор ответа:
0
Відповідь:
Пояснення:
фото
Приложения:
Похожие вопросы
Предмет: Английский язык,
автор: valeriaschmele
Предмет: Другие предметы,
автор: даяна134
Предмет: Беларуская мова,
автор: Simba6456
Предмет: Физика,
автор: Ghopgoawfzh
Предмет: Психология,
автор: ziadinov