Предмет: Алгебра,
автор: i0635113570
Нужна помощь , что бы подробно понять как решаются подобные уравнения
Приложения:
ТатМих:
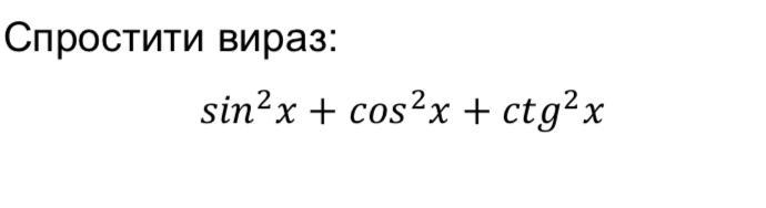
2первых слагаемых=1 основное тригонометрическое тождество
1+ctg^2x=1+(cos^2x/sin^2x)= (sin^2x+cos^2x)/sin^2x=1/sin^2x
Ответы
Автор ответа:
1
Ответ:
Ответ записан и расписан на фото
Приложения:
Если не сложно, то пожалуйста влепи л.ответ)
Спасибо вам огромное <3!!!
нез)
Автор ответа:
0
Відповідь:
Пояснення:
фото
Приложения:
Похожие вопросы
Предмет: Беларуская мова,
автор: Simba6456
Предмет: Русский язык,
автор: blekk
Предмет: Русский язык,
автор: okezylk
Предмет: Химия,
автор: dofusbj
Предмет: География,
автор: Angelyahom