Предмет: Физика,
автор: Karavang
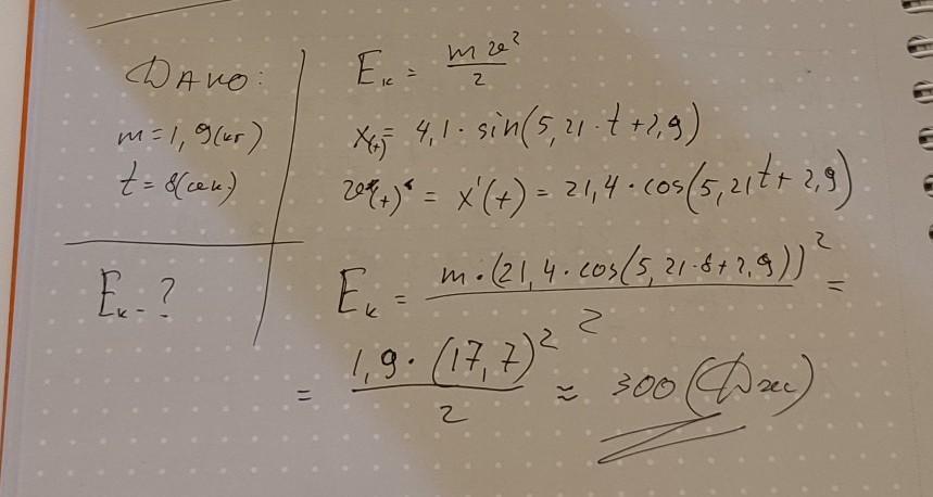
Визначте кінетичну енергію матеріальної точки масою 1,9 кг, у момент часу 8 с, якщо закон її руху має вигляд х = 4,1 sin( 5,21 t + 2,9 ). Кутові характеристики наведено у радіанах. Відповідь надайте у системі СІ, округливши результат до сотих.
Ответы
Автор ответа:
0
Ответ:
Ответ записан и расписан на фото
Приложения:
Похожие вопросы
Предмет: Русский язык,
автор: volkovalubov19
Предмет: Английский язык,
автор: Аноним
Предмет: Беларуская мова,
автор: Simba6456
Предмет: Математика,
автор: SobakaSobakayna
Предмет: Биология,
автор: Olexabro