Предмет: Математика,
автор: yaroslavkostyrya
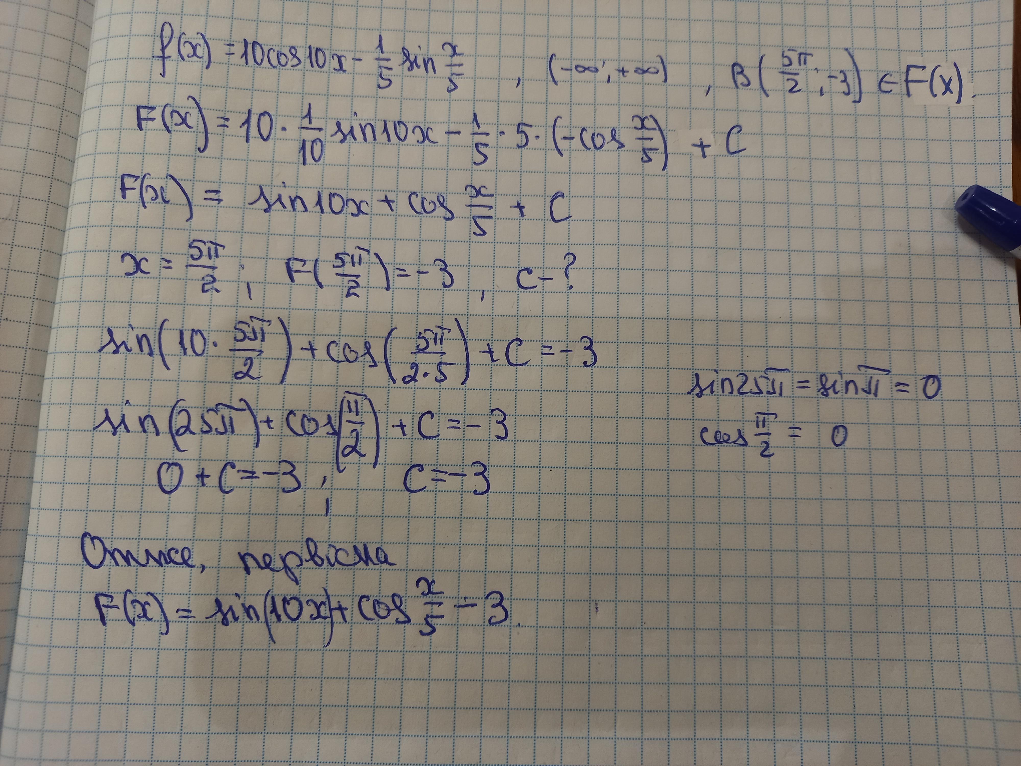
Найдите на промежутке, первестную функции, график которой проходит через точки. Все условия и задание на фото
Приложения:
Ответы
Автор ответа:
1
Ответ:
решение смотри на фотографии
Приложения:
yaroslavkostyrya:
спасибо большое
Автор ответа:
0
Відповідь:
Покрокове пояснення:
фото
Приложения:
Похожие вопросы
Предмет: Русский язык,
автор: 08062006Алтынай
Предмет: Английский язык,
автор: uvaisaevaliya
Предмет: Английский язык,
автор: дахыч5
Предмет: Русский язык,
автор: Аноним
Предмет: Литература,
автор: hajiomarovip