Предмет: Математика,
автор: niqush20aprel
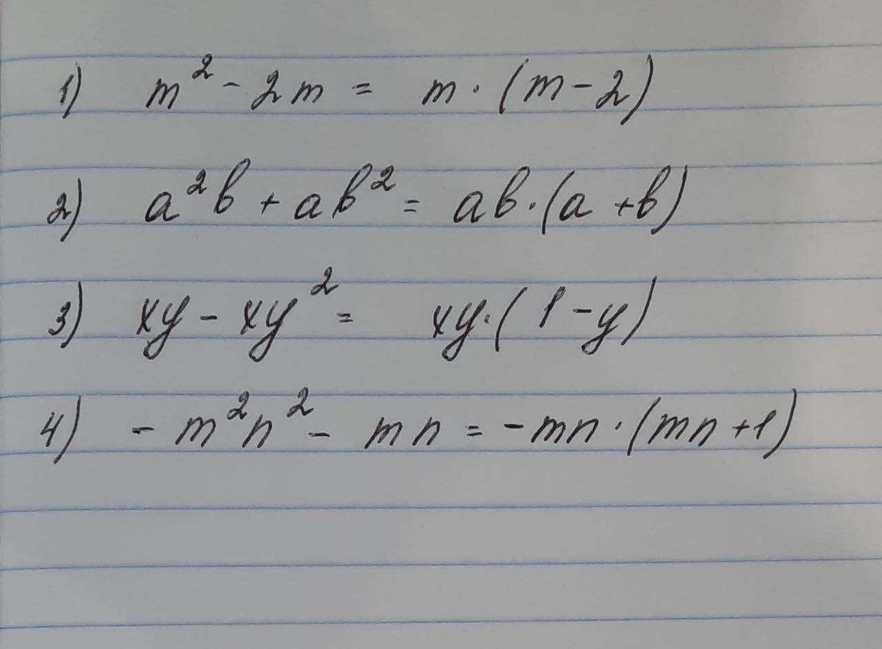
разложите на множители. 1) m²-2m. 2) a²b+ab². 3) xy-xy². 4) -m²n²-mn
Ответы
Автор ответа:
1
Решение смотрина фото
Приложения:
Похожие вопросы
Предмет: Қазақ тiлi,
автор: Аноним
Предмет: Немецкий язык,
автор: SachaIoos
Предмет: Қазақ тiлi,
автор: kros20012
Предмет: Математика,
автор: Tsuhanichvika