Предмет: Геометрия,
автор: rccomfy1133
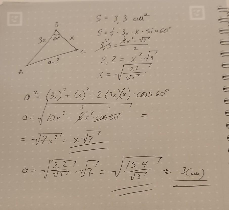
Дві сторони трикутника відносяться, як 3 : 1, а кут між цими сторонами
дорівнює 60°. Знайдіть третю сторону трикутника, якщо його площа
дорівнює 3,3 см².
Ответы
Автор ответа:
1
Ответ:
Ответ записан и расписан на фото
Приложения:
Похожие вопросы
Предмет: Английский язык,
автор: лейсан20
Предмет: Русский язык,
автор: какзделаь
Предмет: Окружающий мир,
автор: Няша098
Предмет: Химия,
автор: yurginetz
Предмет: Другие предметы,
автор: vanya64785