Предмет: Физика,
автор: powergamergt
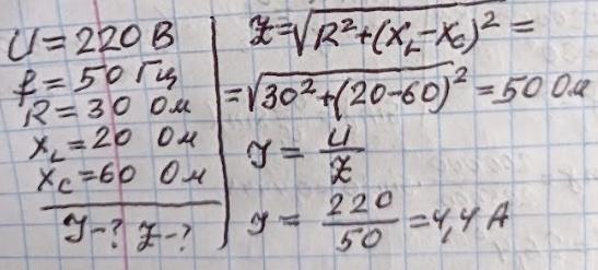
Помогите найти силу струму та повний опiр.
На затискачах кола діє напруга U=220В частотою f=50 Гц. Активний опір R=30 Ом, XL=20 Ом, Хс=60 Ом.
Приложения:
Ответы
Автор ответа:
1
Відповідь: 4,4 А 50 Ом
Пояснення:
Приложения:
powergamergt:
спасибо)
А можете еще помочь найти "падіння напруги на всіх ділянках кола"
Похожие вопросы
Предмет: Английский язык,
автор: ivazova02
Предмет: Русский язык,
автор: dtagirova2016
Предмет: Русский язык,
автор: кисуня50
Предмет: Алгебра,
автор: nikitkashcherbakov20