Предмет: Физика,
автор: boguslavpogrebp91col
Визначити склад ядра атома і обрахувати енергію звязку атомного ядра для вказаних 3 хімічних елементів
Елементи 28, 58, 88 по таблиці Менделєєва
Ответы
Автор ответа:
0
Ответ:
1)Ni(Никель) - 28 элемент в таблице Менделеева.
Масса атома никеля 59,9308 а.е.м.
mр = 1,00728 а.е.м.,
mn = 1,00866 а.е.м.,
me = 0,00055 а.е.м.,
с = 3 · м/с,
1а.е.м=1,66·кг,
qe = 1,6·Кл.
2)Се(Церий) - 58 элемент в таблице Менделеева.
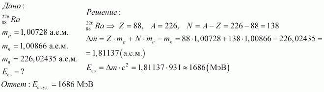
3)Ra(Радий) - 88 элемент в таблице Менделеева.
Расчет на фото.
Приложения:
Похожие вопросы
Предмет: Қазақ тiлi,
автор: Асима11
Предмет: Русский язык,
автор: mironbalashov
Предмет: Черчение,
автор: fiat2323tft
Предмет: Математика,
автор: officialvarenikov
Предмет: История,
автор: kiramartynova