Предмет: Алгебра,
автор: bogdanershov55
Здравствуйте,мне очень нужен ответ по этим трем вопросам. Буду благодарен за любой ответ. Даю 100 баллов!
Приложения:
bogdanershov55:
Если не трудно,решите на листочке
Ответы
Автор ответа:
1
Ответ:
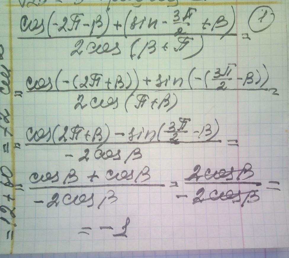
решение смотри на фотографии
Приложения:
Похожие вопросы
Предмет: Русский язык,
автор: tanya861
Предмет: Қазақ тiлi,
автор: алекс200627
Предмет: Русский язык,
автор: vtkmlth
Предмет: Физика,
автор: aleshaskovorodka