Предмет: Алгебра, автор: DudukalovaLizy

СРОЧНОООООО ПОЖАЛУЙСТА!!!!!!!!​

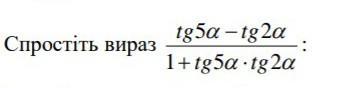
Приложения:

Ответы

Автор ответа: remusjohnlupin1998
1

Объяснение:

По фотомазу ошибки не должно быть

Приложения:
Похожие вопросы
Предмет: Русский язык, автор: zhuravleva2717
(1)Янтарь — минерал, относящийся к числу полудрагоценных камней. (2) Человеку он известен давно. (3)Еще в глубокой древности янтарь использовали как украшение (об этом упоминает древнегреческий поэт Гомер в своей поэме «Одиссея»). (4)Позже из янтаря стали приготовлять лекарства, лаки, канифоль. (5)В 17—18 вв. из него делали линзы для очков и луп. (6)существовала даже разнообразная янтарная оптика.
(7)Долгое время ничего не было известно о происхождении янтаря, и строились самые невероятные, порой фантастические предположения. (8)Например, в Древней Греции считали, что янтарь — сгусток солнечных лучей или затвердевшее под воздействием муравьиной кислоты растительное масло. (9)А известный французский натуралист 18 в. Жорж-Луи Бюффон утверждал, что янтарь — это окаменевший мед. (10)Одним из тех, кто правильно определил происхождение этого минерала, был русский ученый М. В. Ломоносов. (11)Он установил, что янтарь — это окаменевшая смола хвойных деревьев.


Выпишите из текста эпитет вместе со словом, к которому он относится.
Пожалуйста очень срочно нужно.

Предмет: Музыка, автор: petrovakarpenko