Предмет: Математика,
автор: chuwihibook18
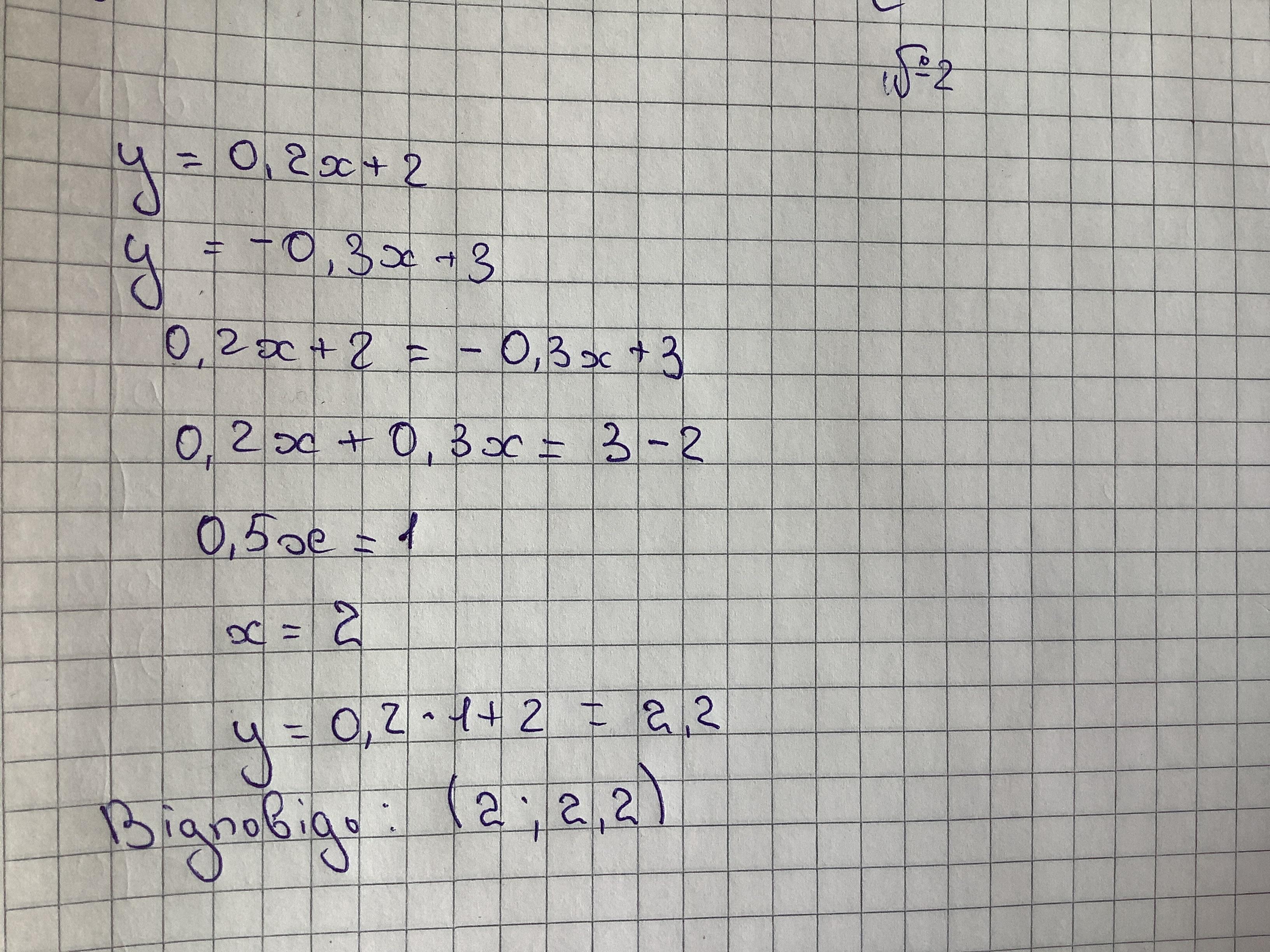
не выполняя построения найдите координаты точек пересечения графика заданной функции с осями координат у=о,2х+2 и у=-0,3х+3
Ответы
Автор ответа:
0
Відповідь:
(2;2,2)
Покрокове пояснення:
Пояснення на фото
Приложения:
Похожие вопросы
Предмет: Русский язык,
автор: MaxD2
Предмет: Английский язык,
автор: AriaFlower
Предмет: Русский язык,
автор: Princess990
Предмет: Математика,
автор: vadimkaIVA
Предмет: Математика,
автор: YkharitonovaM