Предмет: Алгебра,
автор: DeroyLine
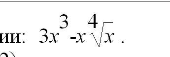
Найти производную функцию!!
Приложения:
Ответы
Автор ответа:
1
решение смотри на фотографии
Приложения:
Похожие вопросы
Предмет: Русский язык,
автор: 20Iulia
Предмет: Русский язык,
автор: Полено4ко
Предмет: Английский язык,
автор: Evva253
Предмет: Математика,
автор: Treml