Предмет: Математика,
автор: bodacom000
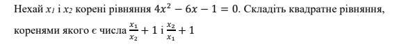
Нехай х1 і х2 корені рівняння (**********).Складіть квадратне рівняння,коренями якого є числа(*******) (*******)
Приложения:
Ответы
Автор ответа:
3
Відповідь:
Покрокове пояснення:
розв'язання завдання додаю
Приложения:
bodacom000:
а хіба може вийти з x^2+a^2. (x+a)^2, чи я щось не так зрозумів
а стоп, дякую все зрозуміло
Похожие вопросы
Предмет: Русский язык,
автор: fhhhhechh
Предмет: Окружающий мир,
автор: sofiaem2006
Предмет: Русский язык,
автор: igor564743help
Предмет: Английский язык,
автор: 1mmortal4nger
Предмет: Обществознание,
автор: mihah30