Предмет: Алгебра,
автор: lizagontar04
Срочно! Помогите пожалуйста решить задание
Приложения:
Ответы
Автор ответа:
1
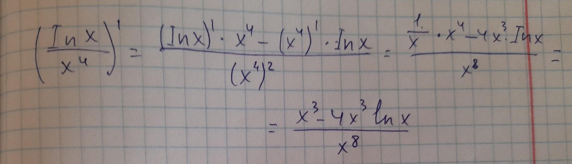
вариант А : х^3-4*х^4Inx/x^8
Приложения:
Похожие вопросы
Предмет: Окружающий мир,
автор: дпанн
Предмет: Қазақ тiлi,
автор: Натальяэвелиша
Предмет: Қазақ тiлi,
автор: Аноним
Предмет: Математика,
автор: Shadow112
Предмет: Английский язык,
автор: nionilasaveleva