Предмет: Физика,
автор: tatanagotlib194
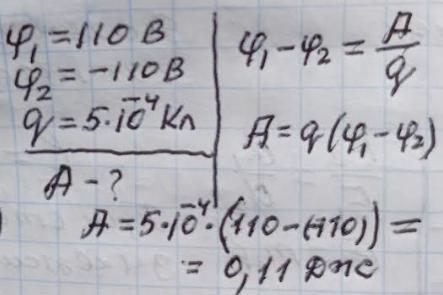
С РЕШЕНИЕМ !!! 100БАЛЛОВ!!!Електричні потенціали двох ізольованих провідників +110 і –110 В. Яку роботу виконує електричне поле під час переміщення заряду 5 · 10–4 Кл з одного провідника
на інший? Провідники перебувають у повітрі
Ответы
Автор ответа:
2
Відповідь: 0,11 Дж
Пояснення:
Приложения:
Похожие вопросы
Предмет: Беларуская мова,
автор: света945
Предмет: Русский язык,
автор: AlisaBordanova
Предмет: Русский язык,
автор: ivanbaxarev200
Предмет: Русский язык,
автор: rogach33
Предмет: Русский язык,
автор: markhalturinskij69