Предмет: Математика,
автор: gelyasj5pehlb3
ПОМОГИТЕ СРОООЧНОО!!!
Приложения:
Ответы
Автор ответа:
1
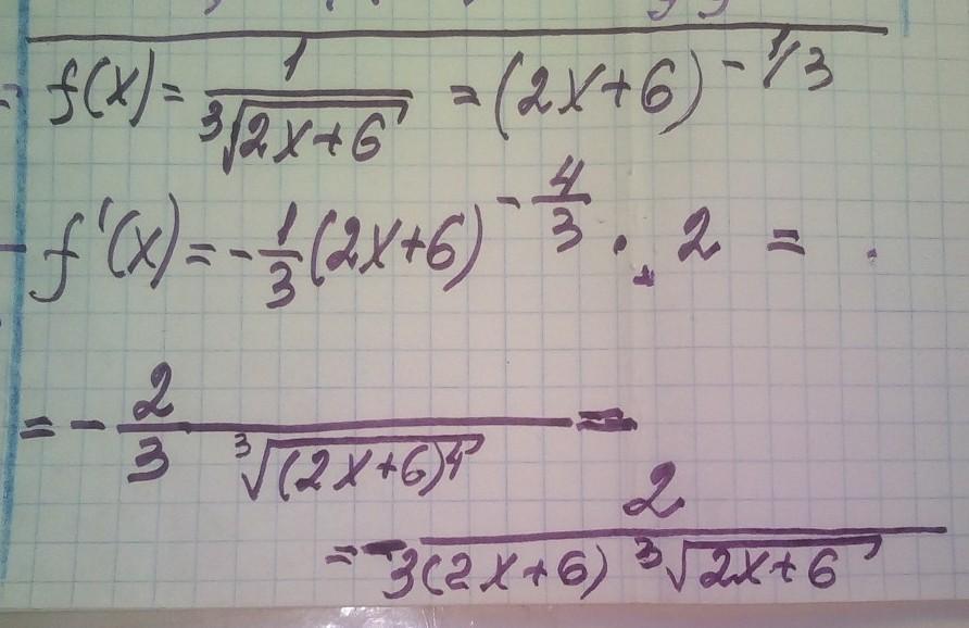
Ответ:
решение смотри на фотографии
Приложения:
Похожие вопросы
Предмет: Русский язык,
автор: berezina238
Предмет: Окружающий мир,
автор: shoolivanova
Предмет: Английский язык,
автор: 34rtwewe
Предмет: Английский язык,
автор: AremM2k4
Предмет: Другие предметы,
автор: andre2000andre