Предмет: Алгебра,
автор: zedp9843
Сумніваюсь
,,,,,,,,,,,,,,,,,,,,,,,,,,,,
Приложения:
Ответы
Автор ответа:
0
Решение:
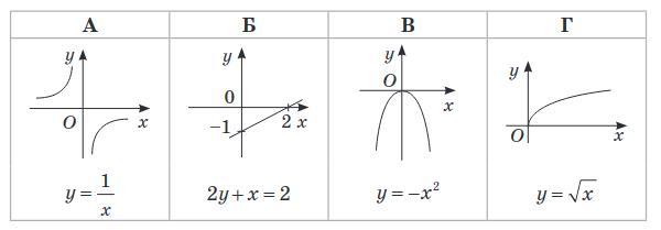
Все верно, кроме варианта а, т.к. в нашем случае
, что больше нуля, поэтому график функции неверен.
соррян, за кривой рисунок, рисовал в пеинте.
Приложения:
Похожие вопросы
Предмет: Английский язык,
автор: элизабетgdvtg
Предмет: Қазақ тiлi,
автор: Регина0910
Предмет: Українська мова,
автор: Машка20052010
Предмет: Обществознание,
автор: Аноним
Предмет: Алгебра,
автор: hyu32