Предмет: Математика,
автор: petruku1124
Поможіть пж!
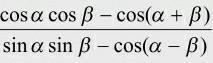
Треба спростити!!
Приложения:
Ответы
Автор ответа:
2
Ответ:
решение смотри на фотографии
Приложения:
petruku1124:
Спасибо
Похожие вопросы
Предмет: Английский язык,
автор: принсец
Предмет: Русский язык,
автор: Lalka4718451
Предмет: Русский язык,
автор: зарият333
Предмет: Алгебра,
автор: ydksbfnskx
Предмет: Окружающий мир,
автор: 13Mia