Предмет: Геометрия,
автор: ocheretnyaL
допоможіть будь ласка
*завдання на фото*
Приложения:
Ответы
Автор ответа:
1
Ответ:
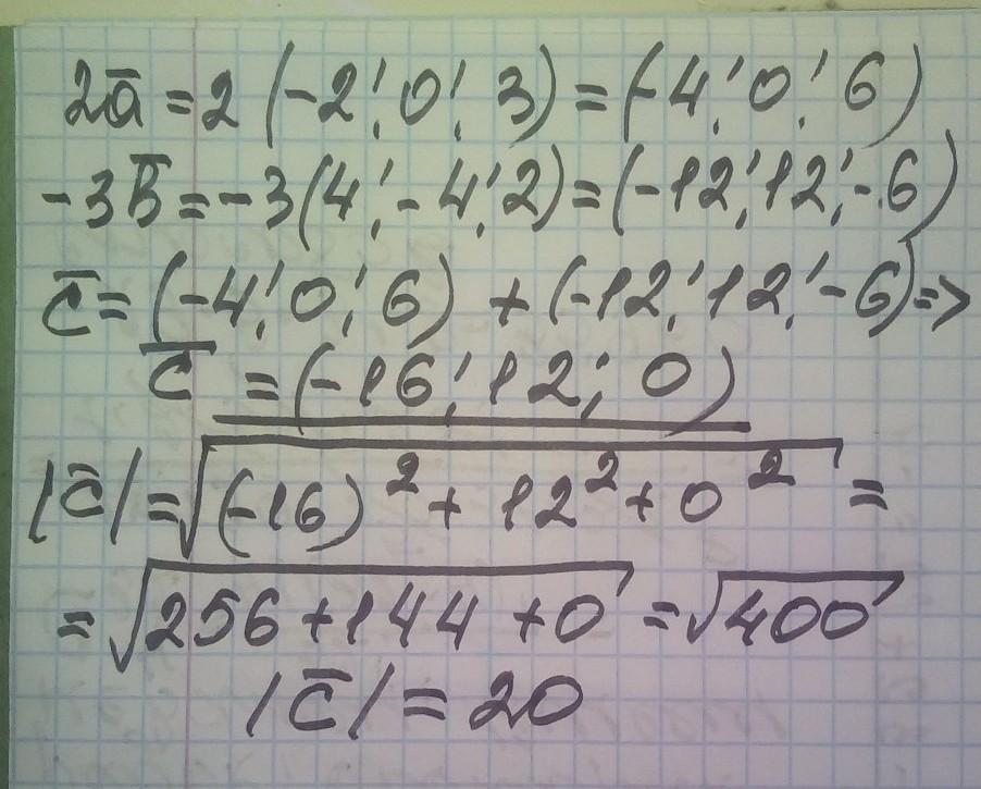
решение смотри на фотографии
Приложения:
Похожие вопросы
Предмет: Другие предметы,
автор: ИмаS
Предмет: Другие предметы,
автор: lenivaga
Предмет: Окружающий мир,
автор: миленакот
Предмет: Английский язык,
автор: mmustafaev23
Предмет: История,
автор: shatalovazlata