Предмет: Физика,
автор: lymontyr
дам 100 балів будь ласка розв'яжіть задачу але з дано в зошиті в мене кр
Приложения:
Ответы
Автор ответа:
1
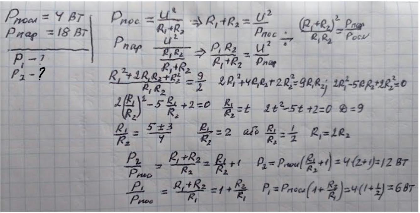
Відповідь: 12 Вт 6 Вт
Пояснення:
Приложения:
zybkov1950:
Непроста задача! У якій школі навчаєтеся?
я в Мединському кому ліцеї
а яка відповідь?
Похожие вопросы
Предмет: Другие предметы,
автор: Егор666666666
Предмет: Окружающий мир,
автор: Irinka160386
Предмет: Русский язык,
автор: daedpol
Предмет: История,
автор: nekitakurljutow
Предмет: Русский язык,
автор: WildYogurt