Предмет: Математика,
автор: karekenovagulhanym01
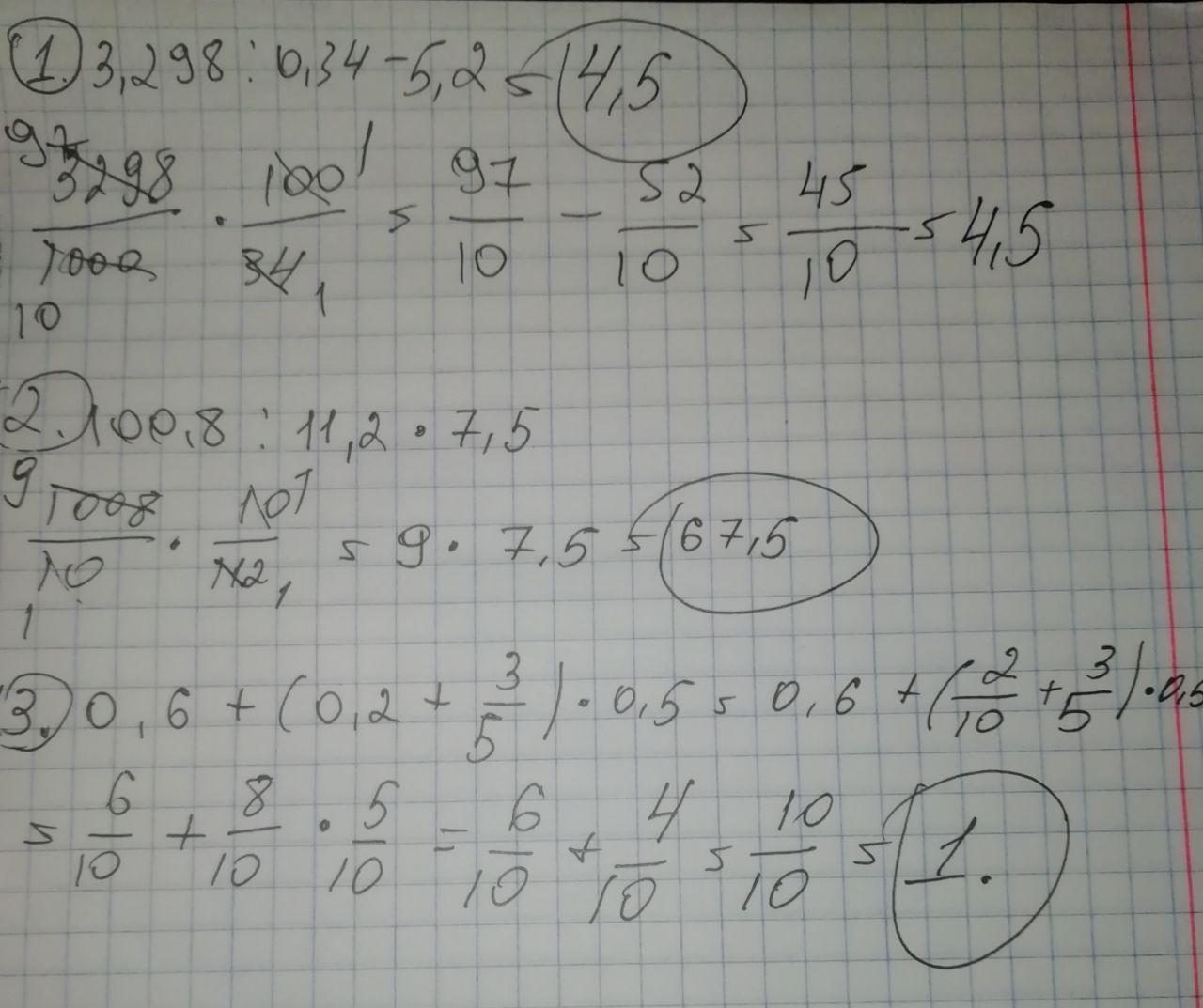
1. 3,298÷0,34-5,2
2. 100,8÷11,2-1,2×7,5
3. 0,6+(0,2+ 3/5)×0,5
можете всё столбиком, подробно.
Ответы
Автор ответа:
0
Ответ:
Пошаговое объяснение:
Приложения:
Похожие вопросы
Предмет: Русский язык,
автор: Аноним
Предмет: Русский язык,
автор: Диана20072017
Предмет: Русский язык,
автор: Gulzat11
Предмет: Литература,
автор: vika22826
Предмет: Математика,
автор: kateloveua