Предмет: Алгебра, автор: Liuia12yiu46

ПОЖАЙЛУСТА, СРОЧНО
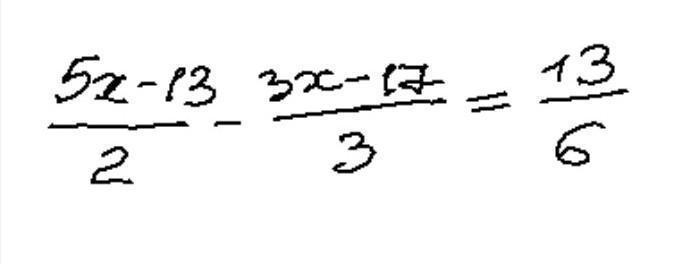
5x-13/2 - 3x-16/3 = 13/6​

Приложения:

Ответы

Автор ответа: dmitroyakovi4yk
1

3(5х-13)-2(3х-17)=13;

15х-39-6х=34=13

9х-5=13

9х=13+5

9х=18

х=2

Приложения:
Автор ответа: Universalka
1

\displaystyle\bf\\\frac{5x-13}{2} -\frac{3x-17}{3} =\frac{13}{6} \\\\\\\frac{5x-13}{2}\cdot 6 -\frac{3x-17}{3} \cdot 6=\frac{13}{6} \cdot 6\\\\\\(5x-13)\cdot 3-(3x-17)\cdot 2=13\\\\15x-39-6x+34=13\\\\15x-6x=13+39-34\\\\9x=18\\\\x=18:9\\\\\boxed{x=2}


Liuia12yiu46: СПАСИБО
Universalka: Пожалуйста
Похожие вопросы
Предмет: Русский язык, автор: Аноним