Предмет: Алгебра,
автор: gedonmisha
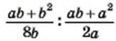
1-Скоротите Дробь.2- Упростите ,3-Поделите
Приложения:
Ответы
Автор ответа:
1
Ответ:
1) 2n-m
2) 0
3) 0.25
Объяснение:
Приложения:
gedonmisha:
Спасибо большее, можешь на мои остальные 2 вопроса по алгебре ответить? я за них тоже по 100 балов даю
Похожие вопросы
Предмет: Другие предметы,
автор: яна5557
Предмет: Окружающий мир,
автор: Адильхан435
Предмет: Английский язык,
автор: поделка13
Предмет: Английский язык,
автор: Ike4f567