Предмет: Алгебра,
автор: nikopol366
СРОЧНО ОЧЕНЬ НУЖНО. РЕШИТЕ ТОЛЬКО ВЕРХНЕЕ. Даю 50 балов
Приложения:
Ответы
Автор ответа:
2
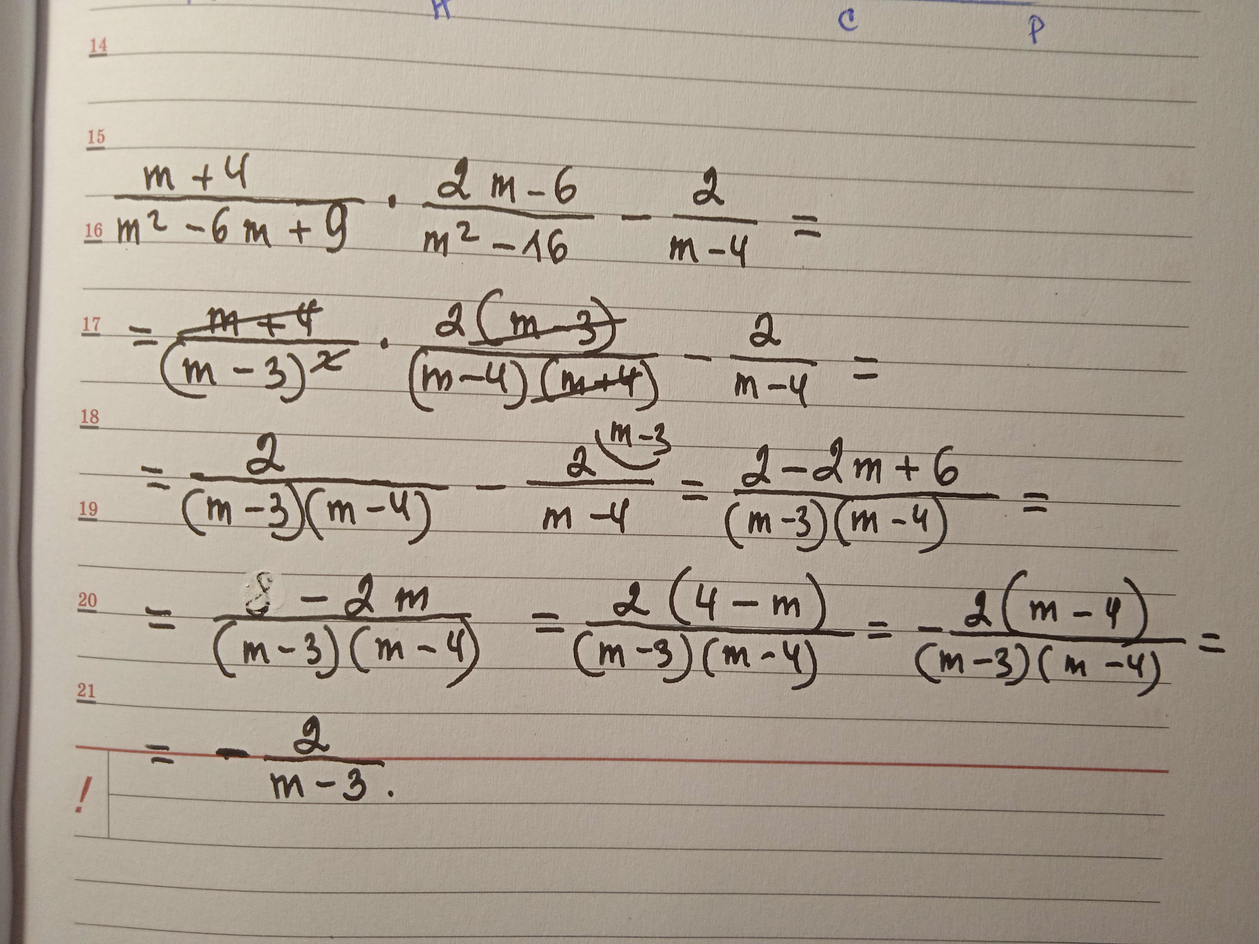
Решение на фотографии:
Приложения:
Пеппер:
явно не в тему!
Это почему?
Автор ответа:
1
Ответ:
1,6
Объяснение:
Значение выражения при m=4,25
-2/(4,25-3)=-2/(1,25)=1,6.
Приложения:
Похожие вопросы
Предмет: Русский язык,
автор: SeventeenBlackYT
Предмет: Русский язык,
автор: vozhdaevae
Предмет: Русский язык,
автор: Минаханум
Предмет: Математика,
автор: LuciferAfanasiy