Предмет: Алгебра,
автор: QuillX1
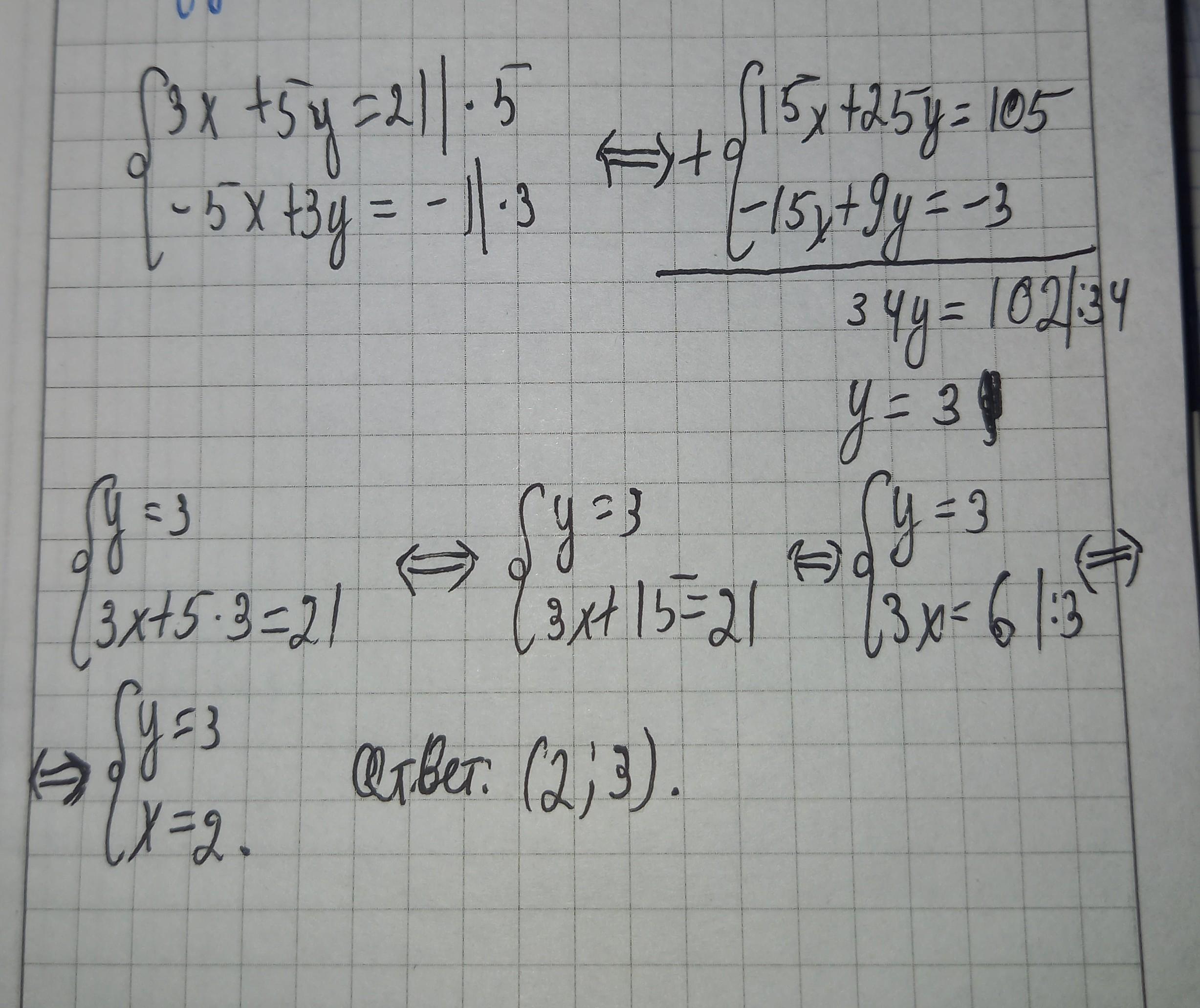
Решите систему уравнений любым способом
3x+5y=21
-5x+3y=-1
Ответы
Автор ответа:
0
Ответ:
(2;3)
Объяснение:
решение на фото.......................
Приложения:
Похожие вопросы
Предмет: Другие предметы,
автор: Ольга5781
Предмет: Русский язык,
автор: vanaignatev2
Предмет: Английский язык,
автор: LuXD
Предмет: Химия,
автор: lolalala19