Предмет: Алгебра,
автор: Hueplot
помогите у меня семестровая пж
Приложения:
Ответы
Автор ответа:
1
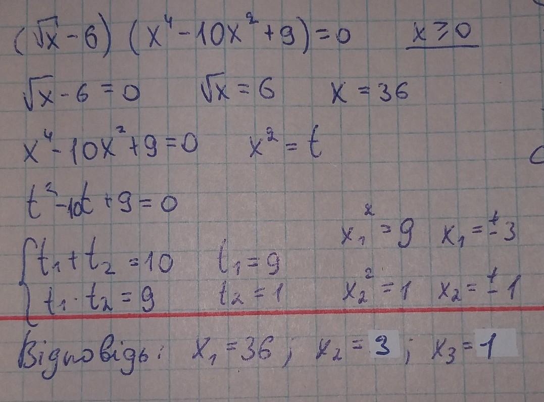
Ответ:
Подробное решение на фото.
Приложения:
Похожие вопросы
Предмет: Русский язык,
автор: k0n5a
Предмет: Английский язык,
автор: Denis1111Sendethski
Предмет: Английский язык,
автор: джени95
Предмет: Математика,
автор: foydoyd