Предмет: Алгебра,
автор: ezzamarria
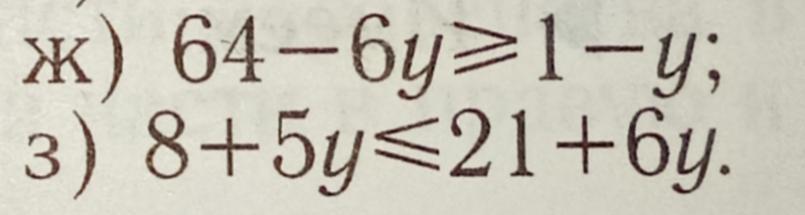
решить неравенства
.
.
Приложения:
Ответы
Автор ответа:
1
Вот решение, если что-то непонятно — пиши.
Приложения:
Похожие вопросы
Предмет: Русский язык,
автор: катя3987
Предмет: Английский язык,
автор: Alena127
Предмет: Английский язык,
автор: Аноним
Предмет: Алгебра,
автор: mister11147
Предмет: Музыка,
автор: Sectantka