Предмет: Геометрия,
автор: djsjd
Очень Строчно пожалутс
Приложения:
Warlock1:
12
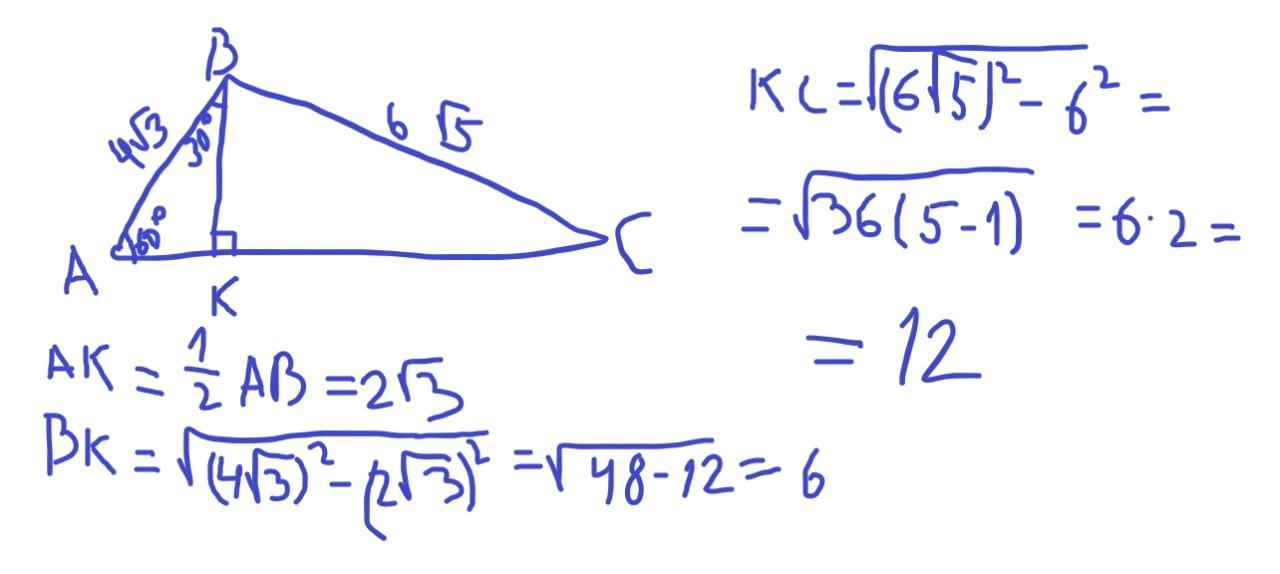
В треугольнике АВК sinA=BK/AB, отсюда находишь, что ВК=6. Потом по т. Пифагора для треугольника ВКС находишь СК, получается 12
Ответы
Автор ответа:
0
Ответ:12см
Объяснение:
Приложения:
Автор ответа:
3
Ответ:
12см
Объяснение:
Приложения:
Похожие вопросы
Предмет: Русский язык,
автор: Аноним
Предмет: Қазақ тiлi,
автор: zem009
Предмет: Английский язык,
автор: DaryaPAD
Предмет: Физика,
автор: Screamingcucumber
Предмет: Українська мова,
автор: 2006tiger3001