Предмет: Физика,
автор: schepanskiy24
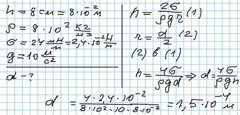
Визначити діаметр пор у гноті гасової лампи, по якому гас піднімається від дна до пальника на висоту 8 cm
Визначити діаметр пор у гноті гасової лампи, по якому гас піднімається від дна до пальника на висоту 8 cm
Ответы
Автор ответа:
1
Відповідь: 0,15 мм
Пояснення:
Приложения:
Похожие вопросы
Предмет: Английский язык,
автор: katenaz
Предмет: Қазақ тiлi,
автор: mamyrovaasiya
Предмет: Окружающий мир,
автор: alyamu2006
Предмет: Математика,
автор: boogdanvasilev69078
Предмет: Алгебра,
автор: Ааа5678