Предмет: Математика,
автор: litovcenkomaksim1
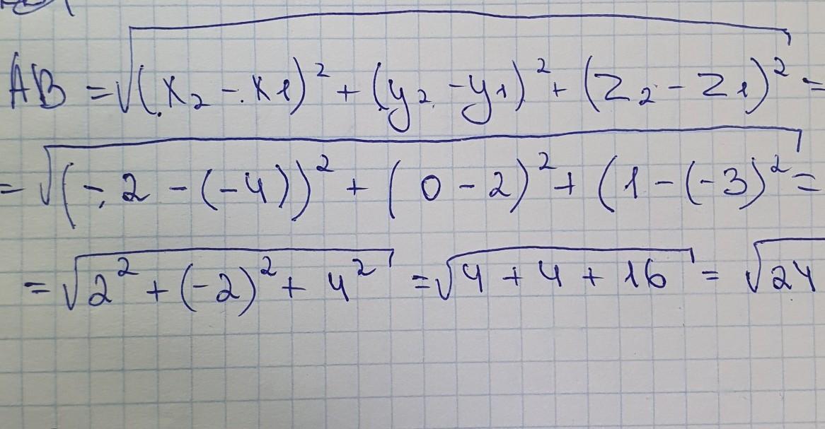
Знайти відстань між точками A(-4 2: -3) і B(-2; 0; 1)
Ответы
Автор ответа:
0
Ответ:
ответ на фотоооооооооооооо
Приложения:
Похожие вопросы
Предмет: Қазақ тiлi,
автор: SokhraNNaya
Предмет: Русский язык,
автор: яна755
Предмет: Қазақ тiлi,
автор: amip05
Предмет: Русский язык,
автор: Аноним
Предмет: Химия,
автор: kolboss30