Предмет: Физика,
автор: 13sashka13
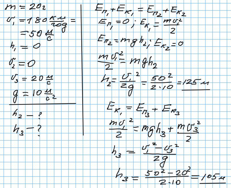
!!!!!!!!!!Дам 65 балов!!!!!!!!!♡Стрілу масою 20г випустили в гору зі швидкістю 180км/год. Якої висоти вона досягнула? На якій висоті її швидкість була 20м/с?♡
Ответы
Автор ответа:
1
Відповідь: 125 м 105 м
Пояснення:
Приложения:
Похожие вопросы
Предмет: Қазақ тiлi,
автор: nocik79
Предмет: Қазақ тiлi,
автор: Аноним
Предмет: Русский язык,
автор: annaivanova19831
Предмет: Биология,
автор: olgagraceva
Предмет: География,
автор: yulichkadruz