Предмет: Алгебра,
автор: oleksanndrra
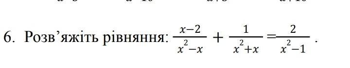
Напишіть повне розв'язання. Дякую
Приложения:
Ответы
Автор ответа:
1
Ответ: 3.....................................................
Объяснение:
Приложения:
Похожие вопросы
Предмет: Другие предметы,
автор: Аноним
Предмет: Українська література,
автор: Sasha101010ggg
Предмет: Русский язык,
автор: janylai2
Предмет: Окружающий мир,
автор: lipka8