Предмет: Алгебра,
автор: Yura2626
АЛГЕБРА АЛГЕБРА АЛГЕБРА
Приложения:
Ответы
Автор ответа:
1
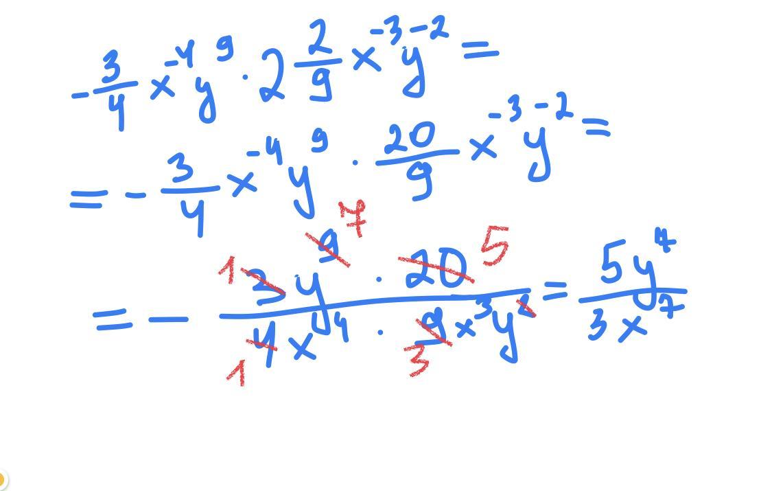
Ответ:
АЛГЕБРА АЛГЕБРА АЛГЕБРА
Приложения:
olexandrvalenkevych:
Когда мы сокращаем дроби мы - поэтому у^9-(у^-2)=11
Автор ответа:
1
Ответ:
Объяснение:
…………
Приложения:
Похожие вопросы
Предмет: Другие предметы,
автор: Отличница0511
Предмет: Қазақ тiлi,
автор: Аноним
Предмет: Английский язык,
автор: norka11
Предмет: Английский язык,
автор: felixxxcat