Предмет: Алгебра, автор: Sev334

Буду благодарен отвеу, алгебра.

Приложения:

Ответы

Автор ответа: Avantgardе
1

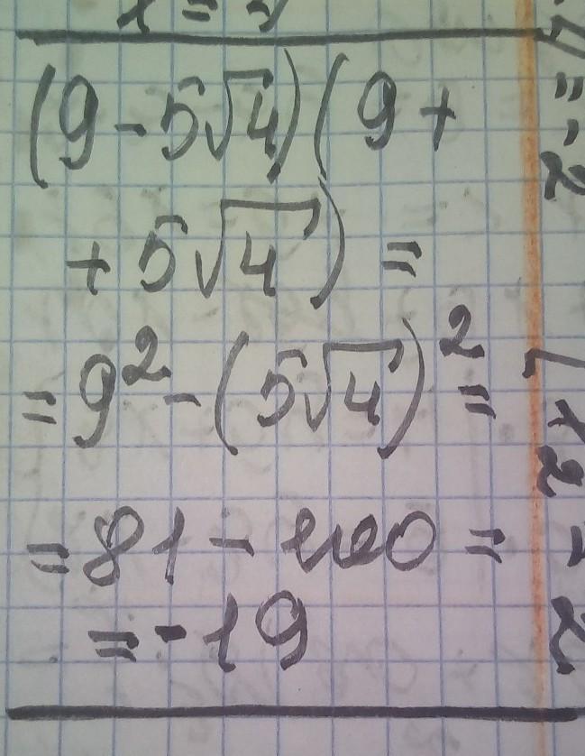
разность квадратов по формуле a^2-b^2=(a-b)(a+b)

(9-5\sqrt4)(9+5\sqrt4)=9^2-(5\sqrt4)^2=81-(5^2\cdot (\sqrt4)^2)=81-25\cdot4=81-100=-19

Ответ: -19


Sev334: благодарен
Автор ответа: manyny06
1

Ответ:

решение смотри на фотографии

Приложения:
Похожие вопросы
Предмет: География, автор: vseslavinskij42