Предмет: Алгебра,
автор: nefexnumb777
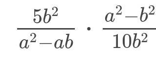
Решите пожалуйста дробь
Приложения:
Ответы
Автор ответа:
0
-b²
-ab ×----- = -ab × -2= 2ab
2b²
nefexnumb777:
можешь пожалуйста на листке подробное решение скинуть поставлю высшую оценку
сорян, не могу ,я в гостях :/ ,напиши так
Похожие вопросы
Предмет: Русский язык,
автор: naboishikovaol
Предмет: Беларуская мова,
автор: поля758
Предмет: Русский язык,
автор: newsteamakk
Предмет: Физика,
автор: svirinolegdfg