Предмет: Математика,
автор: BunnyDi
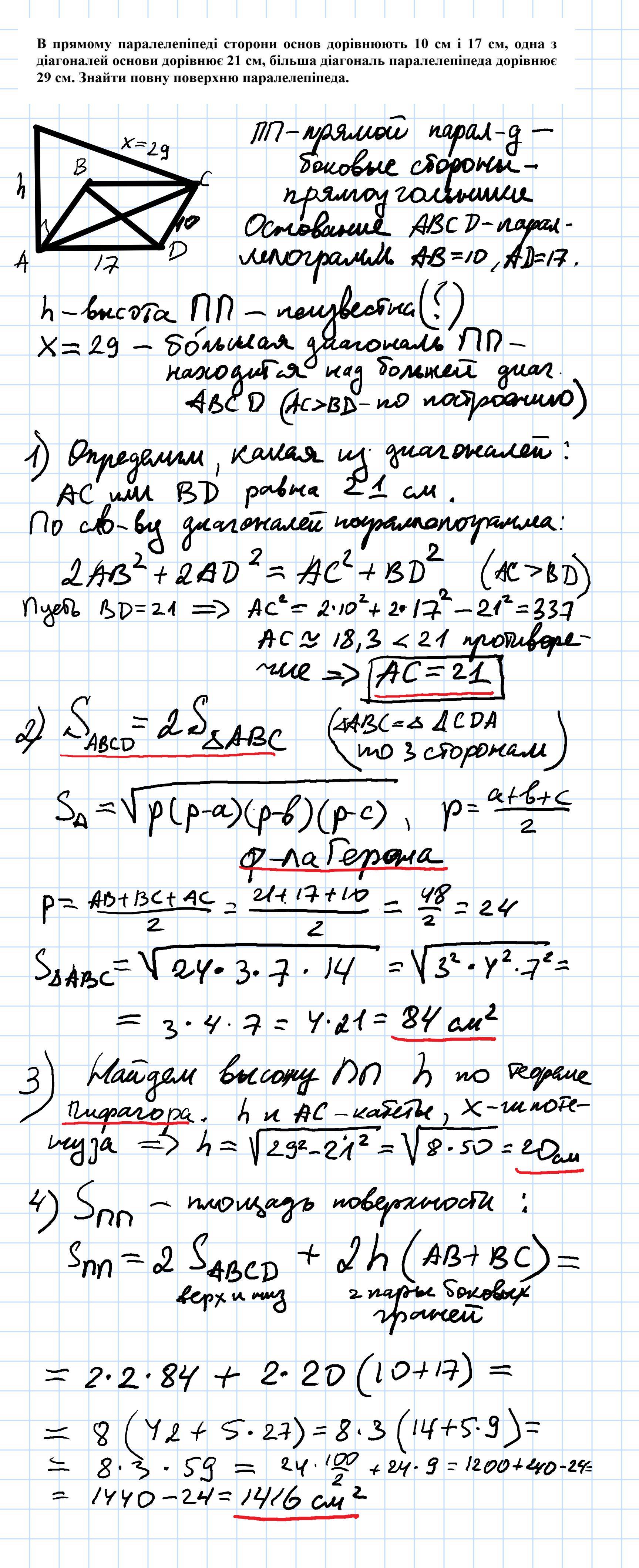
HEEELP!!!!!!! ПОМОГИТЕ ПОЖАЛУЙСТА ЭТО РЕШИТЬ!!!
Приложения:
Ответы
Автор ответа:
0
Ответ:
1416см² ; 17,2%
Пошаговое объяснение:
Приложения:
BunnyDi:
Спасибо, но второе неправильно(((
Да? а какой «правильный» ответ на второе задание?
Похожие вопросы
Предмет: Қазақ тiлi,
автор: 1234567890642
Предмет: Русский язык,
автор: Казна11
Предмет: Технология,
автор: vyxss
Предмет: Информатика,
автор: kuprinovitchilya