Предмет: Математика,
автор: Boss491
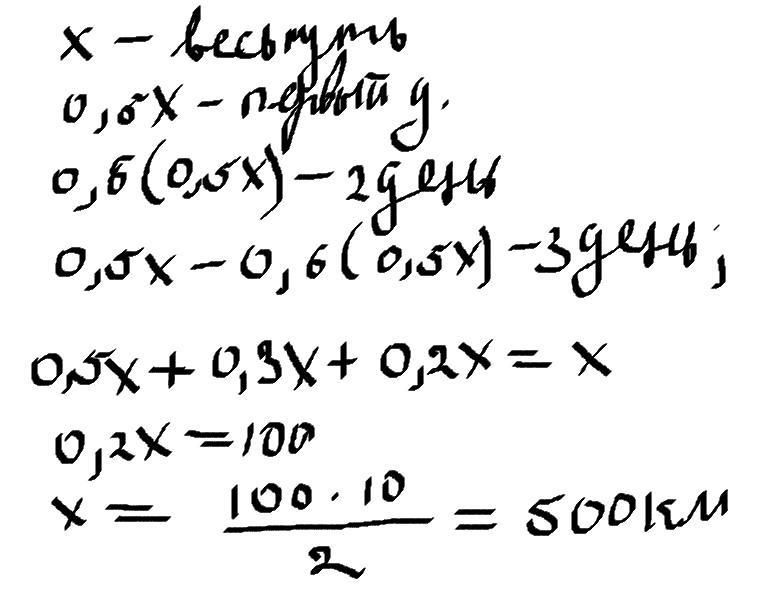
за перший день туристичний автобум проїхав 50%усього маршруту за другий 60%решти, а за третій решту 100км . яка довжина маршруту
Ответы
Автор ответа:
1
Ответ:
500 км
Пошаговое объяснение:
Приложения:
Похожие вопросы
Предмет: Русский язык,
автор: дашак2
Предмет: Қазақ тiлi,
автор: Hdhhd7r73
Предмет: Русский язык,
автор: Fersok
Предмет: Русский язык,
автор: sallyvomb08