Предмет: Математика, автор: slisofij620

помогите срочно!!!!!!!!!!!!!!!!!!!!​

Приложения:

Ответы

Автор ответа: basirovamaram0m
1

Ответ:

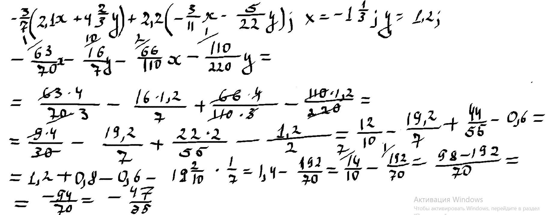
-11/35

Пошаговое объяснение:

-3/7(2.1×(-4/3)+10/3×1,2)+2.2(-3/11(-4/3)-5/22+1,2

 -  \frac{3}{7}  \times  \frac{6}{5}  +  \frac{11}{5}  \times  \frac{1}{11}

  - \frac{18}{35}  +  \frac{1}{5}

Автор ответа: theFLASH221b
1

Ответ:

-47/35

Пошаговое объяснение:

Приложения:
Похожие вопросы
Предмет: Русский язык, автор: Аноним
Предмет: Окружающий мир, автор: teacher743
Предмет: Алгебра, автор: MilkiWay166